How to Reduce Signal Attenuation in High-Speed PCBs
How to Reduce Signal Attenuation in High-Speed PCBs
As a signal travels from the source to the load through PCB conductors, the signal is attenuated due to trace resistance and dielectric losses, resulting in energy loss.
Signal attenuation is the most common term used when high-speed signals travel across a circuit board. It is one of the major contributors to signal degradation that leads to signal integrity issues.
1. What is signal attenuation?

Signal attenuation increases with frequency.
Signal attenuation is a measure of the reduction in signal strength (amplitude and intensity) as a signal propagates through a transmission medium. It is an important property in telecommunications applications because it calculates signal strength as a function of distance.
Lossless signal transmission is achieved when the information provided by the transmitter remains unchanged when decoded by the receiver. Sufficient threshold levels should be met to extract correct information from the signal.
GET PCB MANUFACTURING AND ASSEMBLY QUOTE NOW!
2. How to calculate signal attenuation?
Signal attenuation is estimated in decibels (dB) per unit length of the transmission medium. It can be calculated in terms of power (A p ) and voltage (A v ).
To avoid the chance of fading, multiple signals are sent to ensure that at least one reaches the final destination, the receiver. But due to the need to send these extra signals, this approach slows down the overall network speed.

here:
P s: is the signal power at the source end
P d: is the signal power at the load
V s: is the signal voltage at the source end
V d: is the signal voltage on the load
The lower the attenuation, the more efficient the transmission medium is. Higher attenuation means more signal loss and reduced amplitude on the receiver side.
(1) Attenuation factor or attenuation coefficient
The attenuation factor determines how far a signal can travel and still provide enough data bits or information. It quantifies different transmission media based on how the amplitude of the transmitted signal decreases with frequency. It is given by:
AF = P output/P input
The signal attenuation coefficient depends on:
Transmission medium length
Transmission media materials
Physical conditions
(2) Signal attenuation in transmission lines
In transmission lines, attenuation loss is the combination of two losses: conductor loss and dielectric loss. Conductor losses are due to imperfect conductivity and trace resistance, while dielectric losses are due to the dielectric material.
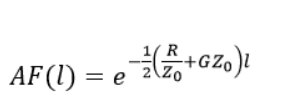
The signal attenuation factor for a transmission line of length “l” is given by:

In dBs, signal attenuation is expressed as:

It can also be expressed as dB loss per unit length, that is:

NOTE: Ignore the minus sign, remember this is a dB loss.
The above formula represents the total insertion loss per unit length of the transmission line, written as:

R/Z0 is the loss component proportional to the trace resistance per unit length R, which is called conductor loss. Represented by α C. The component GZ 0 is proportional to G (the conductance of the dielectric material) and is called dielectric loss. It is represented by α d.

Also, read our article on PCB transmission line losses.
Dielectric losses are negligible compared to conductor losses. The loss tangent associated with the PCB material (i.e. FR4) does not change significantly up to 20GHz. This is the main reason why the dielectric loss curve is almost a straight line with frequency. The distance between the receiver and the receiver in the PCB is usually less than 1m. Therefore, the dielectric loss can be assumed to be constant over frequency. As the sum of conduction losses and dielectric losses, the total losses are primarily conduction losses.
The loss tangent of FR4 material used in circuit board design is approximately 0.003.
GET PCB AND ASSEMBLY SERVICE QUOTE NOW!
3. Why does the signal attenuate when it reaches the wiring end?

The amplitude of a signal decreases as it propagates along the transmission medium.
The amplitude of the signal is distorted by trace resistance and the dissipation factor of the circuit board dielectric. This effect is more prominent at high frequencies since signals tend to propagate along the trace surface. Attenuation causes slower signal rise times and increases the likelihood of data errors.
The high frequency transmission channel makes it difficult for the receiver to interpret the actual information. Due to the influence of the transmission medium, the following transmission losses will occur:
Dielectric absorption: When high-frequency signals propagate across the surface of a circuit board, dielectric materials absorb the signal energy. It reduces signal strength which can only be controlled by choosing the perfect PCB material. Choose materials with low loss tangent to reduce dielectric absorption.
To learn more about material selection, read PCB Material Selection: Electrical and Manufacturing Considerations.
Skin Effect: Skin effect is a phenomenon where high frequency components start to propagate closer to the outside of a circuit board conductor rather than to the inside. The high frequency signal is also responsible for generating waveforms with different current values. Such a signal has its own self-inductance value, which induces increasing inductive reactance as the frequency increases. It is responsible for reducing the conductive area of the PCB surface, resulting in greater resistance and attenuation of the signal amplitude. Skin effect can be reduced by increasing trace width (surface area), but this is not always possible because changing trace geometry can cause impedance issues.

Skin effect in PCB due to high frequency components.
4.What causes signal attenuation in PCBs?
As the signal range increases, so does the attenuation. The factors listed below are responsible for signal attenuation:
Sources of noise: Radio frequency frequencies, leakage currents, and current interference signals cause attenuation. More noise, more attenuation!
Distance between and receiver: As a signal travels a longer distance, its strength decreases. The greater the distance between two points, the higher the attenuation.
Trace Width: Signals are attenuated less through wider traces.
Crosstalk: Crosstalk in nearby traces is also responsible for signal attenuation.
Conductors and Connectors: A signal is attenuated as it passes through different conductive materials and connector surfaces.
Transmission frequency: The shorter the wavelength, the greater the attenuation of radio waves. Such signals are transmitted via 2.4GHz or 5GHz electromagnetic waves. Electromagnetic waves have high frequencies and short wavelengths. Therefore, radio signals have large attenuation and cannot be transmitted over long distances.
Resistive losses associated with conductor materials: The conductive materials used to manufacture transmission lines, such as copper, introduce resistive losses that cause attenuation of signals traveling on copper traces.
Losses Related to Dielectric Materials: Dielectric losses are introduced by losses in the dielectric material sandwiched between transmission lines. This dielectric loss creates a conductance in the substrate, also known as reverse resistance, and absorbs some of the propagated signal energy, causing signal attenuation.
Copper Surface Roughness: Copper surface roughness on a PCB also acts as a resistance to signal propagation. Rough copper traces increase resistance because the topography of the copper surface moves the signal up and down. Surface spikes also increase capacitance. Smooth copper is a solution to this problem, but is more expensive.

The signal follows each peak and valley according to the surface contour, increasing path length and resistance, resulting in attenuation.
Ground loop resistance: As frequency increases, the ground loop narrows, using less copper area, causing resistance to increase.
Also Read, How to Reduce Parasitic Capacitance in PCB Layout?
5. How to reduce signal attenuation?
Signal attenuation can be mitigated using the following techniques:
Use a repeater: If the received signal is weak, use a repeater to regenerate the original signal by reducing attenuation. It also enhances the range of the signal, allowing it to transmit longer distances without failure.
Use an Amplifier: If the received signal is weak, an amplifier is used to increase its amplitude, unlike a repeater which regenerates the entire signal.
Proper material selection: Careful selection of low-loss dielectric materials and low-resistance traces can minimize signal attenuation.
Use programmable differential output voltage (VOD) settings: Programmable VOD ensures drive strength is synchronized with line impedance and trace length. Increasing VOD at the driver enhances the signal at the receiver.
Pre-emphasis: Using amplifiers to increase signal strength is not the only solution for attenuation control, as it also amplifies the associated signal noise and jitter. Pre-emphasis only enhances the high-frequency components of the signal by increasing the level of the first transmitted symbol. If subsequent symbol levels are transmitted at the same level, they will remain unchanged. For example, if a signal transmits a high level for three symbols, only the first symbol is emphasized. The next two symbols will be transmitted at the usual levels.
Receiver equalization: When the signal reaches the receiver, equalization circuitry attenuates the low-frequency components of the signal to restore transmission line losses.
Signal Attenuation Measurements Using a VNA
A vector network analyzer (VNA) is used to perform frequency domain analysis and therefore also attenuation analysis. It has a high dynamic range and is very useful for identifying the actual cause of signal integrity problems. In other words, it is an excellent test and measurement tool for understanding what causes eye diagram closure in high data rate systems.
Anritsu ME7838G series vector network analyzer.
The VNA’s wide frequency bandwidth enables channel characterization as wide as 70kHz to 145GHz. This wide bandwidth allows for better DC extrapolation by including multiple harmonics and providing low-end frequencies to build accurate models. It also provides accurate resolution in the time domain for locating defects in the channel. VNA devices help understand the physical structure and its flaws.
For example, for printed circuit boards, VNA is suitable for analyzing real-world channel defects such as exceeding tolerances on PCB drawings, plating, and dielectric thickness variations. They can be used to evaluate connector performance, construction, and their installation. They can also be used to analyze multi-layer PCB stackups and find imperfect vias or ground plane issues.
Additionally, most signal integrity channels use test fixtures during characterization. VNA has an excellent ability to assess the impact of these fixtures. Network extraction produces a model that reduces the impact of these fixtures. De-embedding is the process of applying a model to subsidize the impact of fixtures on computational results.
Signal attenuation is a result of trace/conductor resistance and associated dielectric losses, which increase with distance and frequency. It can be reduced by improving the dielectric properties of the PCB substrate material and increasing conductor size. Attenuation control helps designers implement PCBs that can operate seamlessly at high frequencies. Losses in circuit board traces can have a small or large impact on the propagated high-speed digital signals.
